Плавление металла
Плавление основного и присадочного материалов в процессе сварки происходит под действием концентрированной энергии, вызванной сварочной дугой, пламенем горелки или одним из других способов, о которых мы расскажем ниже. Если в зону сварки не подается дополнительный металл, то сварочная ванна образуется только за счет основного соединения. Но чаще сварочная ванна получается смешиванием основного и присадочного металла, вносимого непосредственно в зону сварки электродом, сварочной проволокой и т.д. Сливаясь и перемешиваясь между собой, основной и присадочный металл образуют общую сварочную ванну, границами которой служат оплавленные участки основного металла. Расплавленный в зоне подачи концентрированной энергии металл кристаллизуется, образуя сварочный шов.

Рис. 1 Расплав и перенос электродного материала: А-метод короткого замыкания; Б-капельный метод; В-Струйный метод
Крупнокапельный перенос металла характерен для ручной дуговой сварки, мелкокапельный - для сварки под флюсом или в среде углекислого газа, а струйный - для сварки в среде аргона.
Силы поверхностного натяжения формируют каплю на конце электрода и направлены внутрь нее. В отрыве и переносе капли участвуют электродинамические силы и давление газовых потоков. И чем больше сила тока, тем больше эти силы и тем меньшими по размеру будут капли расплавленного металла. При этом происходит электрический взрыв перемычки, образованной между отделяющимся каплей и торцом электрода. Этот взрыв сопровождается выбросом части металла за пределы сварочной ванны (так называемым разбрызгиванием, когда сварочный процесс сопровождается фонтаном искр).
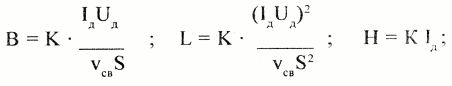
Основной металл плавится под воздействием сконцентрированного в активном пятне тепла, возникающего под воздействием дуги или газопламенной обработки. Электромагнитные силы, вызывающие осевое давление плазменного потока на сварочную ванну, будут пропорциональны квадрату тока, создающего электрическую дугу. Поэтому, меняя силу тока электрической дуги, меняют размеры сварочной ванны в зависимости от толщины свариваемых деталей. Зависимость размеров сварочной ванны от величины напряжения можно выразить уравнениями:

где В - ширина сварочной ванны, L - длина сварочной ванны, Н - глубина
сварочной ванны, vсв - скорость сварки, S - толщина свариваемого металла, К -
коэффициент, зависящий от рода тока, полярности, диаметра электрода, степени
сжатия дуги и т.д.
Процесс формирования сварочной ванны, происходящий под
действием силы тяжести расплавленного металла «Рм», давления сварочной дуги «Р »
и сил поверхностного натяжения «Рн», представлен на рис.2.

Рис.2 Силы действующие в сварочной ванне и формирование шва: А-нижнее положение; Б-вертикальное; В-горизонтальное; Г-потолочное; Vcb-направление сварки; 1-порез; 2-наплыв
Распределение этих сил во многом зависит от расположения сварочного шва в пространстве. При нижнем расположений шва и при сквозном проплавлении жидкий металл удерживается в ванне силами поверхностного натяжения «Р », которые уравновешивают силу тяжести «Р » и давление, оказываемое на ванну источником теплоты «Рд» (рис.2,а), то есть Р = Р + Р . Если это равновесие сил нарушается (Рн < Рд + Рм), то может произойти разрыв поверхностного слоя и металл вытечет из ванны, образуя прожог. В реальных условиях, когда сварочная ванна перемещается вдоль шва, могут возникать дополнительные силы гидродинамического характера, перемещающие расплавленный металл в хвостовую часть ванны. Для того чтобы уравновесить все эти силы, удерживающие жидкий металл в объеме ванны, следует принимать дополнительные меры. Для этого применяют сварку на подкладках и другие удерживающие приспособления. Особенно важно значение таких мер при вертикальном и потолочном расположении шва (рис.2,б,г).
Формирование вертикального шва может происходить по двум направлениям - снизу вверх и сверху вниз. Когда шов формируют снизу вверх, то есть сварка выполняется на подъем, жидкий металл удерживается в ванне только силами поверхностного натяжения, а при сварке сверху вниз к этим силам добавляется давление дуги. Горизонтальный шов на вертикальной плоскости имеет свои особенности. В данном случае при неправильно выбранных режимах сварки жидкий металл может концентрироваться на нижней плоскости шва, нарушая симметрию, что в конечном итоге снижает прочность сварки.
При потолочной сварке силы, действующие на жидкую фазу металла, должны не только удерживать ее от стекания вниз, но и перемещать электродный металл в направлении, противоположном силам тяжести. Во всех указанных случаях следует ограничить размеры сварочной ванны и тепловую мощность дуги.




